聚焦公司动态,解读选矿知识,剖析行业热点,分享选矿经验,我们将冰球突破动态及时呈现给您。在这里,您可以更深入、更全面地了解冰球突破矿装。
2016-08-26 来源:冰球突破矿装 (18352次浏览)
在中细碎领域,棒磨机和球磨机一直占据重要地位,但是伴随经济趋势的下滑,很多采矿企业不得不优化厂房设计,从源头节约资本。所以,磨机的选择尤为重要,下面我们先讲解一下球磨机和棒磨机的选择过程中,如何计算其处理量:
设计中采用的q值,一般取用工业性试验指标或同类选矿厂的磨矿机实际生产指标q0,此时q≈q0。如果没有上述条件,就只有取情况相近似选矿厂的磨矿生产指标再考虑磨矿机的型式、矿石性质给矿及产品粒度等因素的差异做如下的计算:
q=k1k2k3k4q0?(公式1)
式中q——设计中拟选用的磨矿机按新生成的级别(—0.074mm粒级)计算的单位处理量,t/(m3·h);
q0——生产中使用的磨矿机按新生成的级别(—0.074mm粒级)计算的单位处理量,t/(m3·h);
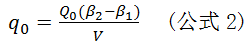
Q0——生产中使用的磨矿机处理量,t/(台·h);
β1——生产中使用的磨矿机给矿中小于0.074mm级别的含率,%;
β2——生产中使用的磨矿机产品中小于0.074mm级别的含率,%;
V——生产中使用的磨矿机的有效容积,m3。
K1——被磨矿石的磨矿难易度系数,据实验资料或参照表1确定;
表 1 矿石的难易磨度系数
矿石性质 | 普氏硬度 | K1 值 |
易碎性矿石 | 5以下 | 1.25~1.4 |
中等可碎性矿石 | 5~10 | 1.0 |
难碎性矿石 | 10以上 | 0.85~0.7 |
?注:当设计与生产的矿石性质相同时,K1=1。?
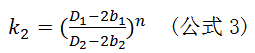
K2——被磨矿机的直径校正系数,可按下式计算:
n——可变指数;n值与磨机直径、型式的关系查表2,n=0.5时的K2值查表3;
表2 n值与磨矿机直径及型式的关系
磨矿机直径D ?m | n值 | |
球磨机 | 棒磨机 | |
2.7 | 0.5 | 0.53 |
3.3 | 0.5 | 0.53 |
3.6 | 0,5 | 0.53 |
4.0 | 0.5 | 0.53 |
4.5 | 0.46 | 0.49 |
5.5 | 0.41 | 0.49 |
表 3 磨机的直径校正系数K2(n=0.5时)
磨矿机直径 mm | D1 | ||||||||
900 | 1200 | 1500 | 2100 | 2700 | 3200 | 3600 | 4000 | ||
D2 | 900 | 1.0 | 1.19 | 1.34 | 1.66 | 1.85 | 2.07 | 2.10 | 2.26 |
1200 | 0.84 | 1.0 | 1.14 | 1.40 | 1.63 | 1.74 | 1.76 | 1.91 | |
1500 | 0.74 | 0.87 | 1.0 | 1.22 | 1.46 | 1.52 | 1.55 | 1.69 | |
2100 | 0.60 | 0.71 | 0.81 | 1.0 | 1.17 | 1.25 | 1.30 | 1.41 | |
2700 | 0.51 | 0.61 | 0.70 | 0.85 | 1.0 | 1.09 | 1.17 | 1.25 | |
3200 | 0.47 | 0.57 | 0.64 | 0.80 | 0.92 | 1.0 | 1.07 | 1.12 | |
3600 | 0.46 | 0.55 | 0.62 | 0.76 | 0.86 | 0.94 | 1.0 | 1.06 | |
4000 | 0.44 | 0.52 | 0.59 | 0.71 | 0.81 | 0.89 | 0.95 | 1.0 |
D1——设计中拟选用的摩矿机直径,m;
D2 ——生产中使用的磨矿机直径,m;
b1——设计中拟选用的磨矿机衬板厚度,m;
b2——生产中使用的磨矿机衬板厚度,m;
k3——设计中拟选用的磨矿机的型式校正系数,查表4;
表4 磨矿机的型式校正系数K3
磨矿机型式 | 格子型球磨机 | 溢流型球磨机 | 棒磨机 |
k3 | 1.0 | 0.9~0.85 | 1.0~0.85 |
当设计与生产的矿石性质相同时,K3=1。
K4——磨矿机的不同给矿粒度和不同产品粒度差别系数:
K4=m1/m2? (公式4)
m1——设计中拟选用的磨矿机按新生成的级别(-0.074mm粒级)计算的、在不同给、排粒度条件下相对处理量,查表5;
m2——生产中使用的磨矿机按新生成的级别(-0.074mm粒级)计算的、在不同给、排粒度条件下的相对处理量,查表5。
表5 不同给矿和排矿粒度条件下的相对处理量m1、m2值
给矿粒度mm | 产品粒度, mm | ||||||
0.5 | 0.4 | 0.3 | 0.2 | 0.15 | 0.10 | 0.074 | |
产品粒度中小于0.074mm粒级的含率,% | |||||||
30 | 40 | 48 | 160 | 72 | 85 | 95 | |
40~0 | 0.68 | 0.77 | 0.81 | 0.83 | 0.81 | 0.80 | 0.78 |
30~0 | 0.74 | 0.83 | 0.86 | 0.87 | 0.85 | 0.83 | 0.80 |
20~0 | 0.81 | 0.89 | 0.92 | 0.92 | 0.88 | 0.86 | 0.82 |
10~0 | 0.95 | 1.02 | 1.03 | 1.00 | 0.93 | 0.90 | 0.85 |
5~0 | 1.11 | 1.15 | 1.13 | 1.05 | 0.95 | 0.91 | 0.85 |
3~0 | 1.17 | 1.19 | 1.16 | 1.06 | 0.95 | 0.91 | 0.85 |
设计中拟选用的磨矿机的处理量(不包括闭路磨矿的返回矿量)按下式计算:
式中Qd——设计中拟选用的磨矿机的处理量,t/(台.h);
q——同公式l;
Vd——设计中拟选用的磨矿机有效容积,m3;
βd1——设计中拟选用的磨矿机给矿量小于0.074mm级别的含率,%;
βd2——设计中拟选用的磨矿机产品中小于0.074mm级别的含率,%。
若无实际生产资料,βd1和βd2可参照表6和表7取值。
表6 破碎产品中小于0.074mm的含率
破碎产品粒度,mm | 40~0 | 20~0 | 10~0 | 5~0 | 3~0 | |
0.074mm 级别的含率,% | 难碎性矿石 | 2 | 5 | 8 | 10 | 15 |
中等可碎性矿石 | 3 | 6 | 10 | 15 | 23 | |
易碎性矿石 | 5 | 8 | 15 | 20 | 25 |
表7 斑岩铜矿破碎、磨矿产品中小于0.074mm含率
破碎 | 产品粒度,mm | 40~0 | 20~0 | 10~0 | 5~0 | 3~0 | ||
- 0.074mm含率,% | 3 | 6 | 10 | 20 | 23 | |||
磨矿 | 产品粒度,mm | 1~0 | 0.4~0 | 0.3~0 | 0.2~0 | 0.15~0 | 0.1~0 | 0.074~0 |
- 0.074mm含率,% | 30 | 40 | 48 | 60 | 72 | 85 | 95 |
设计中拟选用的磨矿机的台数根据设计流程的原始给矿量Qa按下式计算:
式中Qa——设计流程中规定的原始给矿量,t/h;
Qd——设计中拟选用的磨矿机的处理量,由(公式3)式求得,t/(台.h);
nd——设计中拟选用的磨矿机需要的台数,台。
内容版权归冰球突破矿装所有
未经许可不可擅自使用如需转载文章
请联系我们授权
侵权必究!
白银铜矿选矿厂于1958年基建,1960年投产,设计能力为 10000t/d,历年生产处理能力上限可达13000 t/d, 是我国较大的铜矿选矿厂之一。该矿有折腰山(一釆场)、火焰山(二釆场)两个采场,现一釆场露天结束已转入坑下开采,二采场亦将结束,故出矿能力下降至4000 t/d。
钼矿质量标准规定了钼精矿的要求、试验方法、检验规则和标志、包装、贮存、运输及合同内容等。本标准适用于经浮选生产的钼精矿,供生产工业三氧化钼、钼铁合金、钼酸盐、二硫化钼等用;镍矿质量标准规定了镍精矿的要求、试验方法、检验规则、标志、包装、运输和贮存,适用于硫化铜镍矿石经选矿所得的镍精矿,供炼镍用。
您可以在下面表格填写您的需求信息,我们的技术与销售人员会尽快与您取得联系。为保证能及时处理您的信息,请务必准确填写您的联系电话!