聚焦公司动态,解读选矿知识,剖析行业热点,分享选矿经验,我们将冰球突破动态及时呈现给您。在这里,您可以更深入、更全面地了解冰球突破矿装。
2019-07-19 来源:冰球突破矿装 (12607次浏览)
钢球也称磨矿介质,是球磨机实现粉磨的主要原料。一般球磨机刚开始装球时,钢球的大小、数量、比例等,哪个方面添加不对,都会直接影响球磨机磨矿效率。另外,在磨矿过程中,钢球经过高强度的磨剥,导致磨损、破碎、失圆等,也会降低球磨机磨矿效率。因此保证起初装球量和正确判断球磨机钢球磨损,并及时补加球非常重要。

那么起初装球该如何填、后期补球又如何加呢?下面我们主要围绕这两个方面来讲述。
球磨机进行起初装球时,须确保装入球的种类、球的直径和他们的重量比例都适合被磨物料的性质,试验结果表明,一般粗矿料要用大钢球,洗矿料用小球。通常情况下,入料粒度都会粗细不同,因此,需要大小球混合。

在装球率(或钢球重量)一定时,球径小则个数多,每一循环打击次数也较多,球径大则个数小,每次下落的打击力较强。所以,在各球径配比上,大小球配合既有足够的打击力,也要有较多的打击次数和较强的研磨作用。
一般经验是:球磨机起初装球量应占总装球量的80%,大球的比例大致和粗矿粒的百分率相当,小球的比例大致和细矿粒的百分率一致。要想确定初步填球量,需根据如下公式进行计算:
球磨机首次装球的矿粒大小和钢球直径关系表:
| 钢球直径(mm) | 120 | 100 | 90 | 80 | 70 | 60 | 50 | 40 |
| 某厂1适合处理的矿粒 | 12~18 | 10~12 | 8~10 | 6~8 | 4~6 | 2~4 | 1~2 | 0.3~1 |
| 某厂2适合处理的矿粒 | 20 | 10 | - | 5 | 2.5 | 1.2 | 0.6 | 0.3 |
首次装球计算公式:
D=idn
式中D——钢球直径,毫米;
d——给矿粒度,毫米;
i和n——与矿料性质有关的参数。
起初装球法的计算,一般可按下列步骤进行。

第一步:测定分级机的返砂比,并将球磨的新给矿和返砂进行筛析,计算出球磨机的全给矿的粒度组成,作为计算钢球直径的原始资料;
第二步:从全给矿的粒度组成中,扣除不需要再磨细的粒级,再把剩余的粒级换算出新的百分率。然后把新换算出的百分率适当地分为几组,每一组都按公式和表1找出应当用的钢球直径,并确定各种球的比例。各种直径球的重量百分率,大致和计算它们所根据的各组矿粒百分率相当;
第三步:根据已求出各种球的比例和应装入球的总重量,计算各种球的装入重量。
球磨机补加球,分为两种,一种是球磨机新装球并试运行后,在80%钢球量的基础上补加钢球,补加球需根据球磨机直径大小进行加球,如球磨机直径在2500mm以上时,补加球为Φ120mm,球磨机直径小于2500mm时,补加钢球为Φ100mm。
另一种则是球磨机钢球因连续工作导致磨损、破裂或变形后补加钢球。在该种情况下,钢球该如何补加呢?
有些选厂常采用简单的补加球方式,定期加入上限直径的钢球,因为他们在认识上,普遍对补加钢球有些误区,认为,大球磨小,小球磨了,只要加一种大球就行了,其实不然。
补加钢球更需要按照比例进行补加,效果才好,才能有效保证生产率。
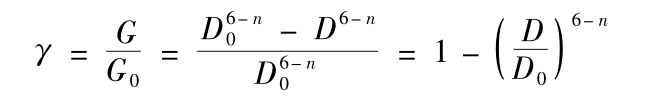
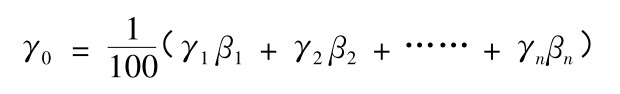
补加钢球计算公式:

在拟定补加比例适宜的钢球方案时,需要确定如下几种资料:
1、补加球的种类及其直径(Dm);
2、每种补加球在全部补加球中的重量百分率(βi);
3、根据公式算出的由D0磨至D的某级别的球的粒度特性(ri);
4、各级别补加球的粒度特性的算术平均值(r0)。

通过如上公式计算得出不加钢球制度,但因每种矿物的性质不同,计算公式也只是一个标准,最终确定钢球配比,还需要依靠有经验技术人员来根据计算结果定出更加合理的补给钢球制度及配比。
内容版权归冰球突破矿装所有
未经许可不可擅自使用如需转载文章
请联系我们授权
侵权必究!
重选是金矿选矿常用的方法之一,利用物料的比重不同,在介质中沉降的速度不同来进行分层分选,一般在砂金矿中,金多以单体自然金的形态存在时,它与脉石的密度差较大,用于重选选金有效又经济。
7月,冰球突破矿装又迎来了一批新的小伙伴,他们同7月的盛夏一样充满着热情和活力,为冰球突破矿装带来了新鲜血液。为了使新员工更快地了解企业文化和产品知识,熟悉工作流程,融入团队,冰球突破矿装开展了为期十天的新员工入职培训。

您可以在下面表格填写您的需求信息,我们的技术与销售人员会尽快与您取得联系。为保证能及时处理您的信息,请务必准确填写您的联系电话!